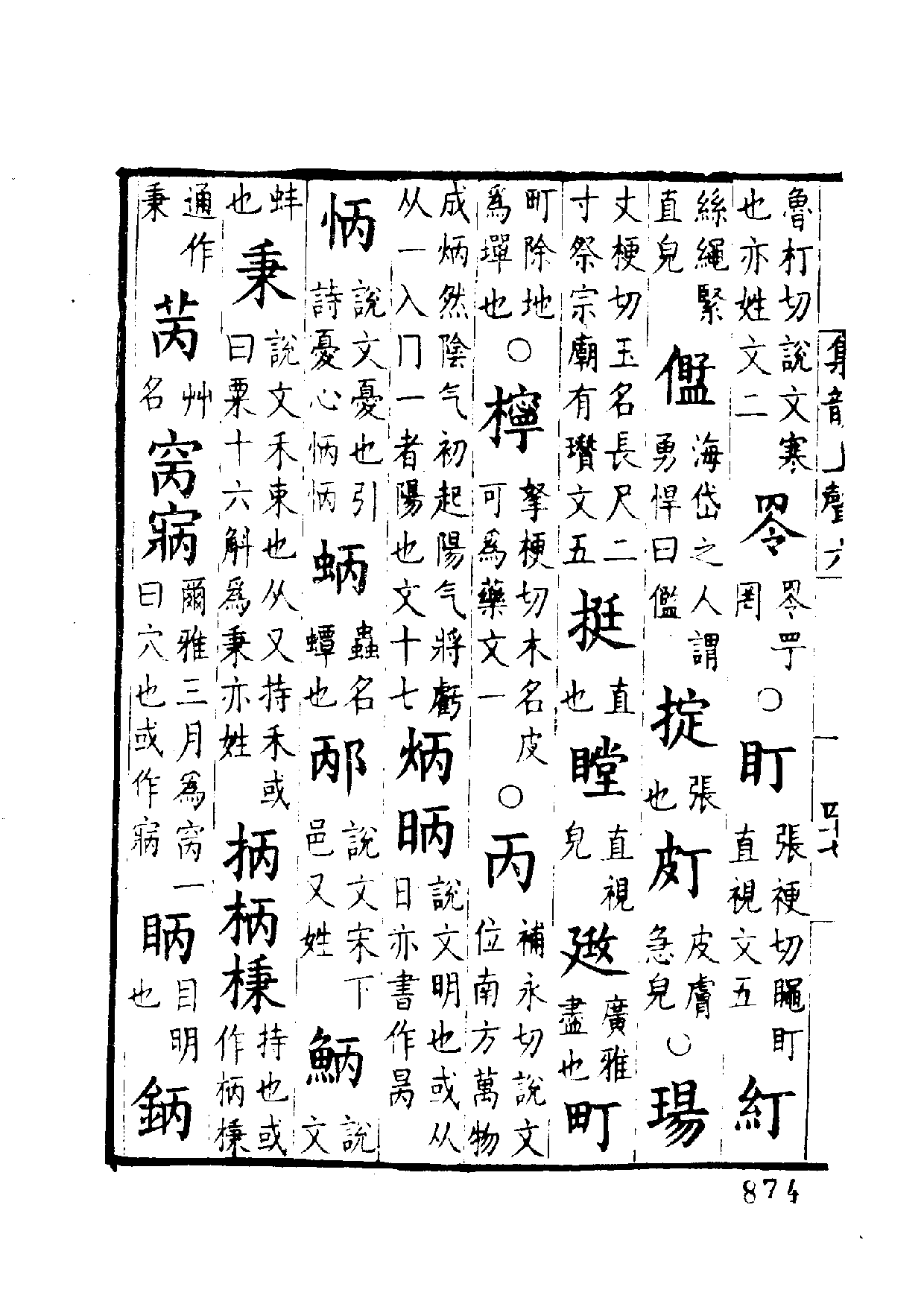
- 摄:
- 梗
- 声调:
- 上
- 韵目:
- 梗
- 开合:
- 开
- 等第:
- 三
- 清浊:
- 全濁
- 反切:
- 補永切
- 声母:
- 幫
- 上字:
- 白
- 下字:
- 猛
- 韵母:
- 庚
- 韵目(广):
- 梗
- 声类(白):
- 並
- 声类(邵):
- 並
- 声母(邵):
- b
- 韵母(邵):
- aŋ
- 页码:
- 874
- 漢語大字典(遠東圖書公司),冊.頁.字:4.2842.5
- 漢語大字典(建宏出版社),頁.字:1185.26
- 康熙字典(中華書局),頁.字:1080.14
- 中文大辭典(中華學術院),冊.編號:8.33731
- 廣韻(黎明文化事業公司),頁.字:316.08
- 集韻(上海古籍出版社),頁.行.字:421.5.1、421.9.