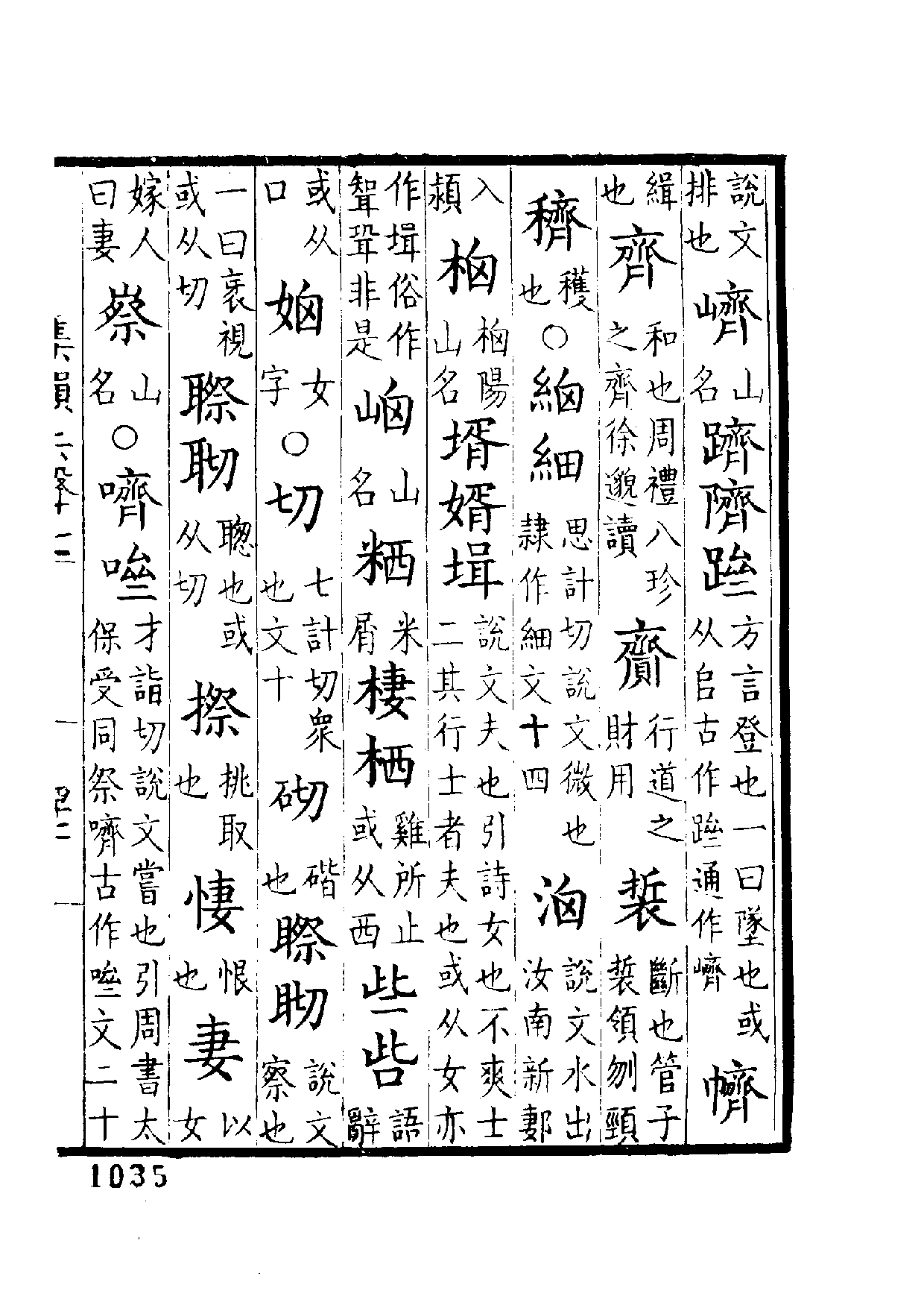
- 摄:
- 蟹
- 声调:
- 去
- 韵目:
- 齊
- 开合:
- 开
- 等第:
- 四
- 清浊:
- 次清
- 反切:
- 思計切
- 声母:
- 心
- 上字:
- 先
- 下字:
- 齊
- 韵母:
- 齊
- 韵目(广):
- 齊
- 声类(白):
- 心
- 声类(邵):
- 心
- 声母(邵):
- s
- 韵母(邵):
- ɛi
- 页码:
- 1035
- 漢語大字典(遠東圖書公司),冊.頁.字:2.1229.6
- 漢語大字典(建宏出版社),頁.字:517.2
- 康熙字典(中華書局),頁.字:0534.17
- 中文大辭典(中華學術院),冊.編號:5.15290
- 廣韻(黎明文化事業公司),頁.字:090.15
- 集韻(上海古籍出版社),頁.行.字:92.9.2、93.4.6、50