- Unicode:
- U+89D2
- 拼/读音:
- jiǎo jué 注音:ㄐㄧㄠˇ ㄐㄩㄝˊ
- 部首笔画:
- 角,部外笔画:0,总笔画:7
- 表面结构:
- 上:⺈,下:用。
- 拼音:
- jiao3
- 注音:
- (一)ㄐ|ㄠˇ (二)ㄐㄩㄝˊ (三)ㄌㄨˋ
牛、羊、鹿等头上长出的坚硬的东西:牛~。鹿~。犄~。~质。 形状像角的:菱~。皂~。 突入海中的尖形的陆地(多用于地名):成山~(在中国山东省)。 几何学指从一点引出两条直线所夹成的平面部分:直~。~度。~钢。~尺。 物体边沿相接的地方:~落。 额骨(俗称“额角”)。 古代未成年男孩头顶两侧束发为髻(亦称“总角”)。 古代军中的一种乐器:画~。号~。 古代量器,酒的计量单位:“先取两~酒来”。 中国货币单位。 星名,二十八宿之一。 量词。
說文解字(大徐本)

說文解字(段注本)

隸辨

五經文字

龍龕手鏡(高麗本)

龍龕手鑑

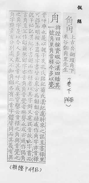
佩觿

玉篇

廣韻

集韻

類篇

四聲篇海(明刊本)

六書正

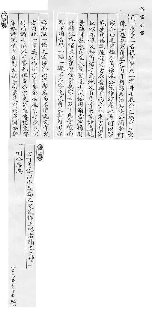
俗書刊誤

字學三正

字彙

正字通

字彙補

經典文字辨證書

增廣字學舉隅

彙音寶鑑

中日朝漢字字形對照

重訂直音篇

補充資料
