臺灣學術網路十一版異體字字典

Unicode:
U+71C8
拼/读音:
dēng   注音:ㄉㄥ
部首笔画:
火,部外笔画:12,总笔画:16
表面结构:
左:火,右:登。
拼音:
deng1
注音:
ㄉㄥ

简义

  • 声明

    本页面所展现之内容,仅作为学术研究预览之用,更多异体字的专业资料请移步至《異體字字典》臺灣學術網路十一版(正式五版)

    异体字


           

    出处

     
    金石文字辨異

     

     

     
    龍龕手鏡(高麗本)

     
    龍龕手鑑

     
    玉篇

     
    廣韻

     
    集韻

     
    集韻考正

     
    類篇

     
    四聲篇海(明刊本)

     

     
    俗書刊誤

     
    字彙

     
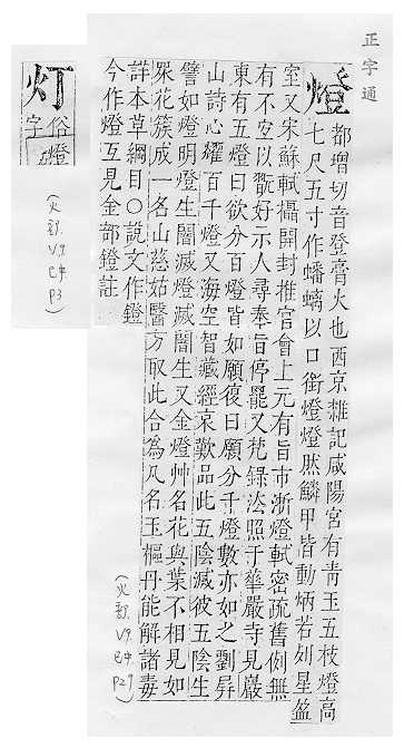
    正字通

     
    字彙補

     

     

     

     
    彙音寶鑑

     

     

     

     
    中日朝漢字字形對照

     

     

     

     

     

     

     

     

     

     
    宋體母稿異體字

     

     
    重訂直音篇

     
    補充資料