- Unicode:
- U+80C3
- 拼/读音:
- wèi 注音:ㄨㄟˋ
- 部首笔画:
- 月,部外笔画:5,总笔画:9
- 表面结构:
- 上:田,下:月。
- 拼音:
- wei4
- 注音:
- (一)ㄨㄟˋ (二)ㄓㄡˋ
人和脊椎动物身体里主管消化食物的器官:~脏。~液。~酸。~口(食欲,引申为兴趣、欲望。口读轻声)。 星名,二十八宿之一。
說文解字(大徐本)

說文解字(段注本)

龍龕手鏡(高麗本)

龍龕手鑑

玉篇

廣韻

集韻

類篇

四聲篇海(明刊本)

字鑑

六書正

字彙

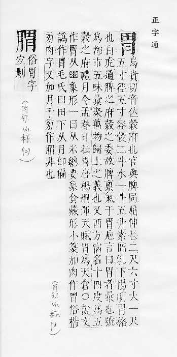
正字通

字彙補

經典文字辨證書

增廣字學舉隅

彙音寶鑑

中日朝漢字字形對照

重訂直音篇

補充資料
