臺灣學術網路十一版異體字字典

Unicode:
U+5FCD
拼/读音:
rěn   注音:ㄖㄣˇ
部首笔画:
心,部外笔画:3,总笔画:7
表面结构:
上:刃,下:心。
拼音:
ren3
注音:
ㄖㄣˇ

简义

  • 耐,把感情按住不让表现:~耐。~痛。~受。容~。~俊不禁(忍不住笑)。
  • 狠心,残酷:~心。残~。
  • 声明

    本页面所展现之内容,仅作为学术研究预览之用,更多异体字的专业资料请移步至《異體字字典》臺灣學術網路十一版(正式五版)

    异体字


      

    出处

     
    說文解字(大徐本)

     
    說文解字(段注本)

     

     

     

     

     

     
    隸辨

     

     
    佩觿

     
    玉篇

     
    廣韻

     
    集韻

     
    集韻考正

     
    類篇

     
    四聲篇海(明刊本)

     
    字鑑

     
    字彙

     
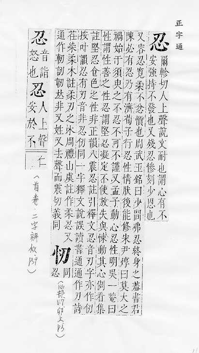
    正字通

     
    字彙補

     

     

     
    經典文字辨證書

     
    增廣字學舉隅

     
    彙音寶鑑

     

     

     

     
    中日朝漢字字形對照

     

     

     

     

     

     

     

     

     
    重訂直音篇

     
    補充資料