臺灣學術網路十一版異體字字典

Unicode:
U+752B
拼/读音:
   注音:ㄈㄨˇ
部首笔画:
用,部外笔画:2,总笔画:7
拼音:
fu3
注音:
ㄈㄨˇ

简义

  • 古代在男子名字下加的美称,后指人的表字(亦作):台~(询问别人名号的礼貌用语)。
  • 刚刚,才:年~弱冠。惊魂~定。
  • 大:“无田~田”(不要去耕大田)。
  • 姓。
  • 声明

    本页面所展现之内容,仅作为学术研究预览之用,更多异体字的专业资料请移步至《異體字字典》臺灣學術網路十一版(正式五版)

    异体字


     

    出处

     
    說文解字(大徐本)

     
    說文解字(段注本)

     

     

     

     

     

     
    隸辨

     
    玉篇零卷


     
    新加九經字樣

     
    玉篇

     
    廣韻

     
    集韻

     
    類篇

     
    四聲篇海(明刊本)

     
    字鑑

     
    字彙

     
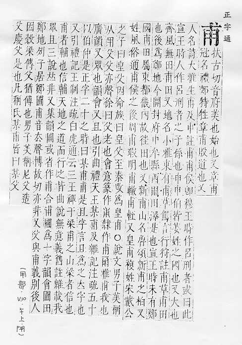
    正字通

     

     
    彙音寶鑑

     

     
    中日朝漢字字形對照

     

     

     

     

     

     

     

     

     
    重訂直音篇