- Unicode:
- U+4E3C
- 拼/读音:
- jǐng 注音:ㄐㄧㄥˇ
- 部首笔画:
- 丶,部外笔画:4,总笔画:5
- 拼音:
- jing3
- 注音:
- (一)ㄉㄢˇ (二)ㄐ|ㄥˇ
說文解字(大徐本)

說文解字(段注本)

龍龕手鏡(高麗本)

龍龕手鑑

井部.v2.p67.B9
廣韻

上聲.四十.靜韻.p318
集韻

上聲.四十.靜韻.子郢切.p424
上聲.四十八.感韻.都感切.p447
四部備要本.上聲.p30
集韻考正

類篇

井部.p183
四聲篇海(明刊本)

井部.p321
六書正

字學三正

字彙

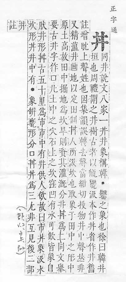
正字通

經典文字辨證書

增廣字學舉隅

彙音寶鑑

重訂直音篇

卷五.井部.p435