- Unicode:
- U+536F
- 拼/读音:
- mǎo 注音:ㄇㄠˇ
- 部首笔画:
- 卩,部外笔画:3,总笔画:5
- 拼音:
- mao3
- 注音:
- ㄇㄠˇ
地支的第四位,属兔。 用于记时:~时(早晨五点至七点)。~正(早晨六点)。点~。画~。 器物接榫的地方凹入的部分:~眼。~榫。 期限:比~(中国清代催征钱粮,分期追比)。
說文解字(大徐本)

說文解字(段注本)

隸辨

金石文字辨異

玉篇

廣韻

集韻

類篇

四聲篇海(明刊本)

字鑑

六書正

俗書刊誤

字學三正

字彙

正字通

字彙補

增廣字學舉隅

彙音寶鑑

中日朝漢字字形對照

重訂直音篇

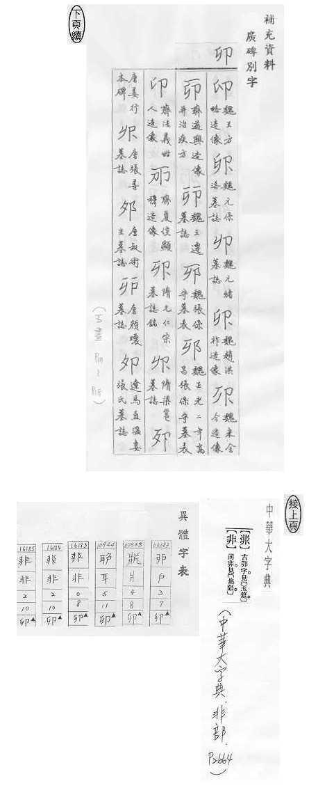
補充資料
