臺灣學術網路十一版異體字字典

Unicode:
U+77EE
拼/读音:
ǎi   注音:ㄞˇ
部首笔画:
矢,部外笔画:8,总笔画:13
表面结构:
左:矢,右:委。
拼音:
ai3
注音:
ㄞˇ

简义

  • 人的身材短:~人。~矬。~个儿。~墩墩。
  • 高度小:~林。~墙。~屋。
  • 等级地位低:工资他比我~一级。
  • 声明

    本页面所展现之内容,仅作为学术研究预览之用,更多异体字的专业资料请移步至《異體字字典》臺灣學術網路十一版(正式五版)

    异体字


        

    出处

     
    說文解字(大徐本)

     
    龍龕手鏡(高麗本)

     
    龍龕手鑑

     
    廣韻

     
    集韻

     
    類篇

     
    精嚴新集大藏音

     
    四聲篇海(明刊本)

     
    字學三正

     
    字彙

     
    正字通

     

     
    彙音寶鑑

     

     
    中日朝漢字字形對照

     

     

     

     

     

     

     

     
    宋體母稿異體字

     

     
    重訂直音篇

     
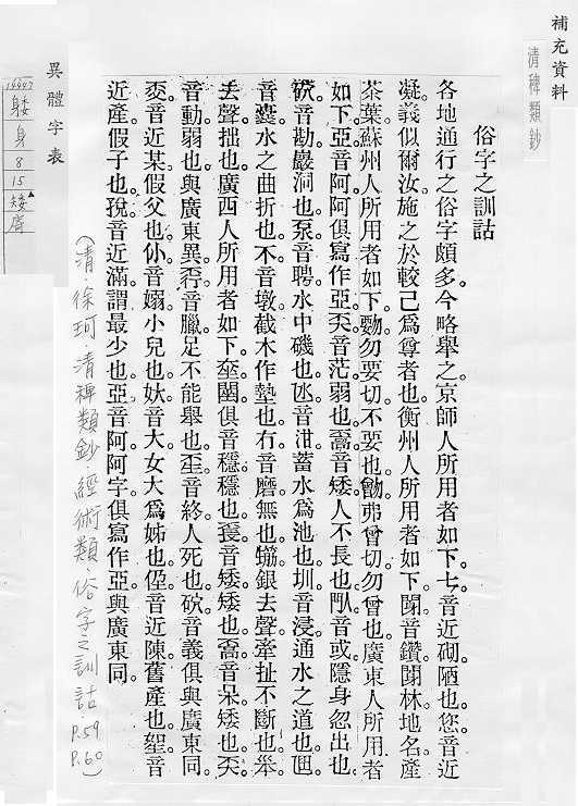
    補充資料