- Unicode:
- U+4E8E
- 拼/读音:
- yú 注音:ㄩˊ
- 部首笔画:
- 二,部外笔画:1,总笔画:3
- 拼音:
- yu2
- 注音:
- (一)ㄩˊ (二)ㄒㄩ
介词(a.在,如“生~北京”;b.到,如“荣誉归~老师”;c.对,如“勤~学习”;d.向,如“出~自愿”;e.给,如“问道~盲”;f.自,从,如“取之~民”;g.表比较,如“重~泰山”;h.表被动,如“限~水平”)。 后缀(a.在形容词后,如“疏~防范”;b.在动词后,如“属~未来)。 姓。
說文解字(大徐本)

說文解字(段注本)

隸辨

金石文字辨異

玉篇零卷
玉篇

廣韻

集韻

類篇

四聲篇海(明刊本)

字鑑

字彙

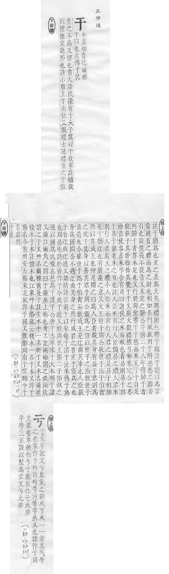
正字通

字彙補

經典文字辨證書

增廣字學舉隅

古今正俗字詁

彙音寶鑑

中日朝漢字字形對照

宋體母稿異體字

重訂直音篇

補充資料
