臺灣學術網路十一版異體字字典

Unicode:
U+6D98
拼/读音:
   注音:ㄙˋ
部首笔画:
氵,部外笔画:7,总笔画:10
表面结构:
左:氵,右:矣。
拼音:
si4
注音:
ㄙˋ

简义

  • 水边:“在水之~”。
  • 声明

    本页面所展现之内容,仅作为学术研究预览之用,更多异体字的专业资料请移步至《異體字字典》臺灣學術網路十一版(正式五版)

    异体字


      

    出处

     
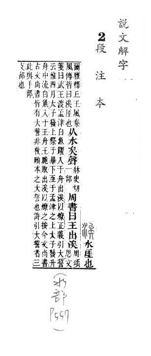
    說文解字(大徐本)

     
    說文解字(段注本)

     
    隸辨

     

     
    龍龕手鏡(高麗本)

     
    龍龕手鑑

     
    玉篇

     
    廣韻

     
    集韻

     
    類篇

     
    精嚴新集大藏音

     
    四聲篇海(明刊本)

     
    字彙

     
    正字通

     

     
    彙音寶鑑

     
    中日朝漢字字形對照

     

     

     

     

     

     

     

     

     
    重訂直音篇

     
    補充資料