- Unicode:
- U+660E
- 拼/读音:
- míng 注音:ㄇㄧㄥˊ
- 部首笔画:
- 日,部外笔画:4,总笔画:8
- 表面结构:
- 左:日,右:月。
- 拼音:
- ming2
- 注音:
- ㄇ|ㄥˊ
亮,与暗相对:~亮。~媚。~净。~鉴(a.明镜;b.指可为借鉴的明显的前例;c.明察)。~灭。~眸。~艳。~星。~珠暗投(喻怀才不遇或好人失足参加坏团伙,亦泛指珍贵的东西得不到赏识)。 清楚:~白。~显。~晰。~了。~确。~朗。 懂得,了解:~哲保身。不~事理。深~大义。 公开,不隐蔽:~说。~讲。~处。 能够看清事物:~察秋毫。耳聪目~。眼~手快。 睿智:英~。贤~。~君。 视觉,眼力:失~。 神灵,泛指祭神供神之物:~器(殉葬用的器物,亦作“冥器”)。 次(专指日或年):~日。~年。 中国朝代名:~代。 姓。
說文解字(大徐本)

說文解字(段注本)

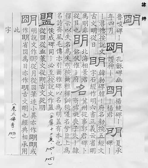
隸辨

金石文字辨異

干祿字書

五經文字

龍龕手鏡(高麗本)

龍龕手鑑

玉篇

廣韻

集韻

類篇

四聲篇海(明刊本)

字鑑

俗書刊誤

字學三正

字彙

正字通

字彙補

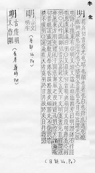
經典文字辨證書

增廣字學舉隅

彙音寶鑑

中日朝漢字字形對照

宋體母稿異體字

重訂直音篇

補充資料
