臺灣學術網路十一版異體字字典

Unicode:
U+8525
拼/读音:
cōng   注音:ㄘㄨㄥ
部首笔画:
艹,部外笔画:11,总笔画:14
表面结构:
上:艹,下:悤。
拼音:
cong1
注音:
ㄘㄨㄥ

简义

  • 声明

    本页面所展现之内容,仅作为学术研究预览之用,更多异体字的专业资料请移步至《異體字字典》臺灣學術網路十一版(正式五版)

    异体字


            

    出处

     
    說文解字(大徐本)

     
    說文解字(段注本)

     

     

     

     

     
    隸辨

     
    金石文字辨異

     

     
    五經文字

     
    佩觿

     
    玉篇

     
    廣韻

     
    集韻

     
    類篇

     
    四聲篇海(明刊本)

     
    六書正

     

     
    字彙

     
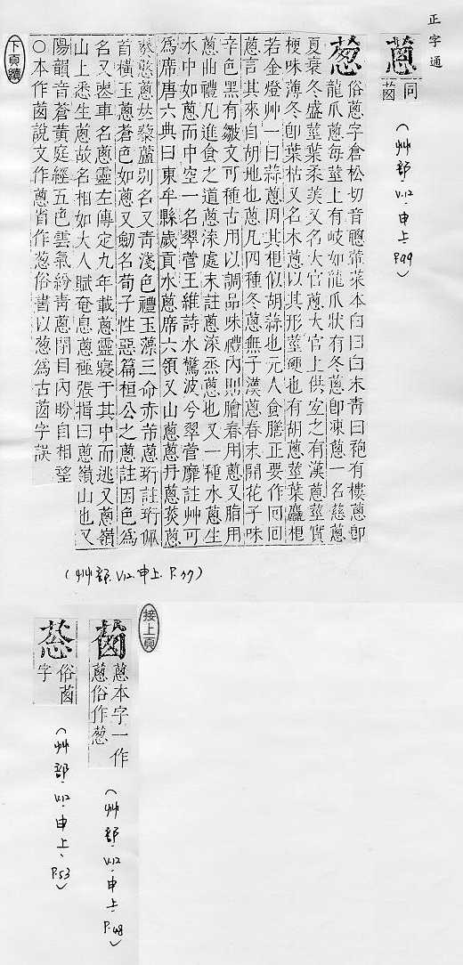
    正字通

     
    字彙補

     

     

     

     
    中日朝漢字字形對照

     

     

     

     

     

     

     
    宋體母稿異體字

     

     
    重訂直音篇

     
    補充資料