- Unicode:
- U+652F
- 拼/读音:
- zhī 注音:ㄓ
- 部首笔画:
- 支,部外笔画:0,总笔画:4
- 表面结构:
- 上:十,下:又。
- 拼音:
- zhi1
- 注音:
- (一)ㄓ (二)ㄓㄤˋ
撑持,伸出,竖起:~撑。~援。体力不~。 受得住:乐不可~。 领款或付款:~付。 调度,指使:~使。~应。~着儿。 附属于总体的一个部分:总~。~流。~离。 〔地~〕历法中用的十二个字:子丑寅卯辰巳午未申酉戌亥。 量词:一~笔。
說文解字(大徐本)

說文解字(段注本)

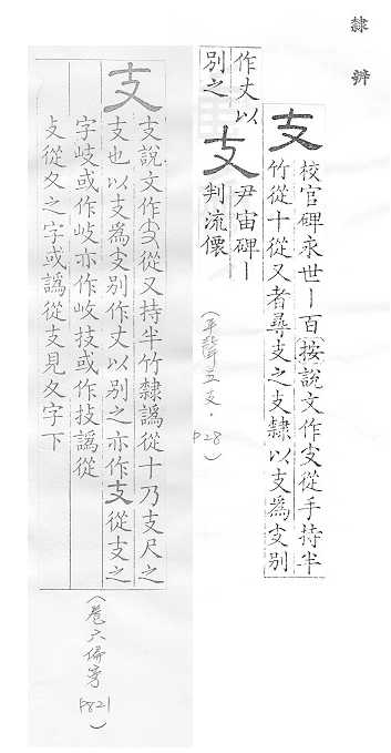
隸辨

金石文字辨異

干祿字書

龍龕手鏡(高麗本)

龍龕手鑑

佩觿

玉篇

廣韻

集韻

類篇

四聲篇海(明刊本)

字鑑

六書正

俗書刊誤

字學三正

字彙

正字通

字彙補

經典文字辨證書

彙音寶鑑

中日朝漢字字形對照

重訂直音篇

補充資料
