臺灣學術網路十一版異體字字典

Unicode:
U+75A5
拼/读音:
jiè   注音:ㄐㄧㄝˋ
部首笔画:
疒,部外笔画:4,总笔画:9
表面结构:
左上:疒,右下:介。
拼音:
jie4
注音:
ㄐ|ㄝˋ

简义

  • 一种传染性皮肤病,非常剌痒,是疥虫寄生而引起的。通常称“疥疮”,亦称“疥癣”。
  • 声明

    本页面所展现之内容,仅作为学术研究预览之用,更多异体字的专业资料请移步至《異體字字典》臺灣學術網路十一版(正式五版)

    异体字


          

    出处

     
    說文解字(大徐本)

     
    說文解字(段注本)

     

     

     

     
    五經文字

     
    龍龕手鏡(高麗本)

     
    龍龕手鑑

     
    玉篇

     
    廣韻

     
    集韻

     
    集韻考正

     
    類篇

     
    四聲篇海(明刊本)

     
    字彙

     
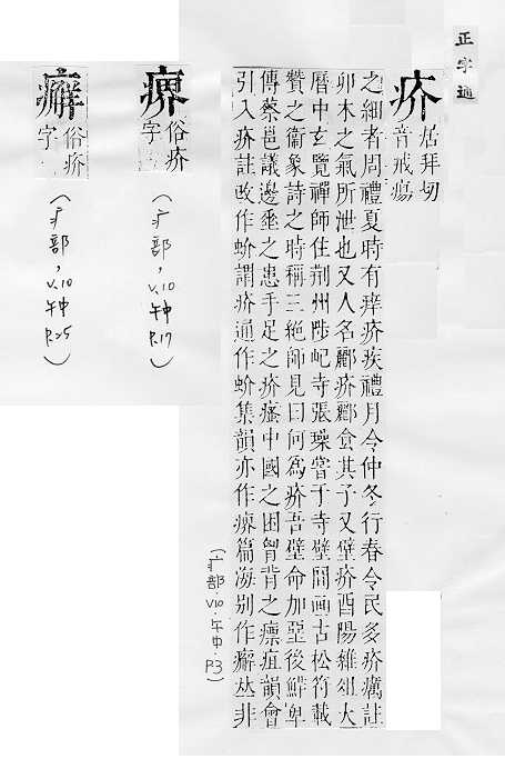
    正字通

     
    字彙補

     

     
    彙音寶鑑

     

     

     
    中日朝漢字字形對照

     

     

     

     

     

     

     
    重訂直音篇

     
    補充資料