- Unicode:
- U+718F
- 拼/读音:
- xūn xùn 注音:ㄒㄩㄣ ㄒㄩㄣˋ
- 部首笔画:
- 灬,部外笔画:10,总笔画:14
- 拼音:
- xun4
- 注音:
- (一)ㄒㄩㄣ (二)ㄒㄩㄣˋ
气味或烟气接触物品,引申为长期接触的人或事物对品行、习惯的影响:~染。~陶。~制。利欲~心。 火烟上出:~蒸。 气味刺激人:臭气~人。 暖和:~风。
說文解字(大徐本)

說文解字(段注本)

金石文字辨異

龍龕手鏡(高麗本)

龍龕手鑑

玉篇

廣韻

集韻

集韻考正

類篇

精嚴新集大藏音

四聲篇海(明刊本)

字鑑

六書正

字彙

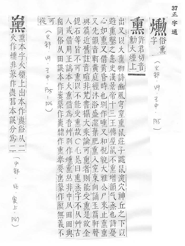
正字通

字彙補

經典文字辨證書

增廣字學舉隅

彙音寶鑑

中日朝漢字字形對照

宋體母稿異體字

重訂直音篇

補充資料
