臺灣學術網路十一版異體字字典

Unicode:
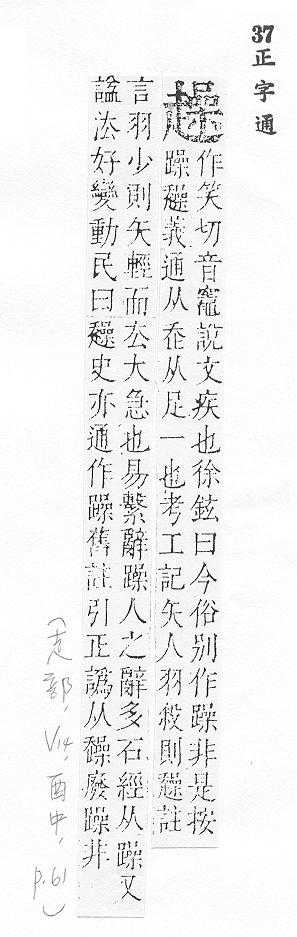
U+8DAE
拼/读音:
zào   注音:ㄗㄠˋ
部首笔画:
走,部外笔画:13,总笔画:20
表面结构:
左下:走,右上:喿。
拼音:
zao4
注音:
ㄗㄠˋ

简义

  • 古同:“~者不静。”
  • 声明

    本页面所展现之内容,仅作为学术研究预览之用,更多异体字的专业资料请移步至《異體字字典》臺灣學術網路十一版(正式五版)

    异体字


    出处

     
    說文解字(大徐本)

     
    說文解字(段注本)

     
    五經文字

     
    龍龕手鏡(高麗本)

     
    龍龕手鑑

     
    玉篇

     
    廣韻

     
    集韻

     
    類篇

     
    四聲篇海(明刊本)

     
    六書正

     
    字學三正

     
    字彙

     
    正字通

     

     
    經典文字辨證書

     

     

     

     
    重訂直音篇