首页
历代音韵
先秦
两汉
魏晋
南北朝
隋唐
两宋
元代
明代
清代
字典字书
中华字典
异体字字典
康熙字典
说文解字
宋本玉篇
篆隷万象名義
字源字典
古汉语字典
汉字演变
甲骨文
金文
楚系简帛文字
秦系简牍文字
传抄古文字
小篆
隶变
汉字源流
汉语词典
中华成语典
网络成语典
通用汉语词典
中国方言
官话
粤语
吴语
闽语
客语
湘语
赣语
晋语
徽语
平话
土话
汉藏语系
阿尔泰语系
南亚语系
印欧语系
中国戏曲
汇典
单本
存目
论著
学术
闻讯
时讯
备网录
官媒资讯
藏文化
臺灣學術網路十一版異體字字典
首页
字典字书
异体字字典
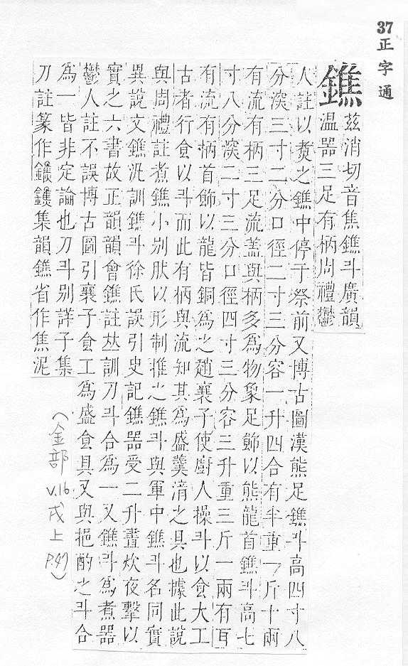
鐎
Unicode:
U+940E
拼/读音:
jiāo 注音:ㄐㄧㄠ
部首笔画:
釒,部外笔画:12,总笔画:20
表面结构:
左:釒,右:焦。
拼音:
jiao1
注音:
ㄐ|ㄠ
简义
刁斗,古代军用炊具,三足,有柄,夜间用来敲击报更:“秋入铜~。”
温酒器。
出处
說文解字(大徐本)
說文解字(段注本)
龍龕手鏡(高麗本)
龍龕手鑑
玉篇
廣韻
集韻
類篇
四聲篇海(明刊本)
字彙
正字通
字彙補
重訂直音篇