- Unicode:
- U+7B2C
- 拼/读音:
- dì 注音:ㄉㄧˋ
- 部首笔画:
- 竹,部外笔画:5,总笔画:11
- 拼音:
- di4
- 注音:
- ㄉ|ˋ
次序:~一。次~。等~。 科举考试及格的等次:科~。及~。落~。 封建社会官僚贵族的大宅子:宅~。府~。门~。进士~。 但:运动有益于健康,~不宜过于剧烈。 姓。
說文解字(段注本)

隸辨

金石文字辨異

干祿字書

玉篇

廣韻

集韻

類篇

四聲篇海(明刊本)

字彙

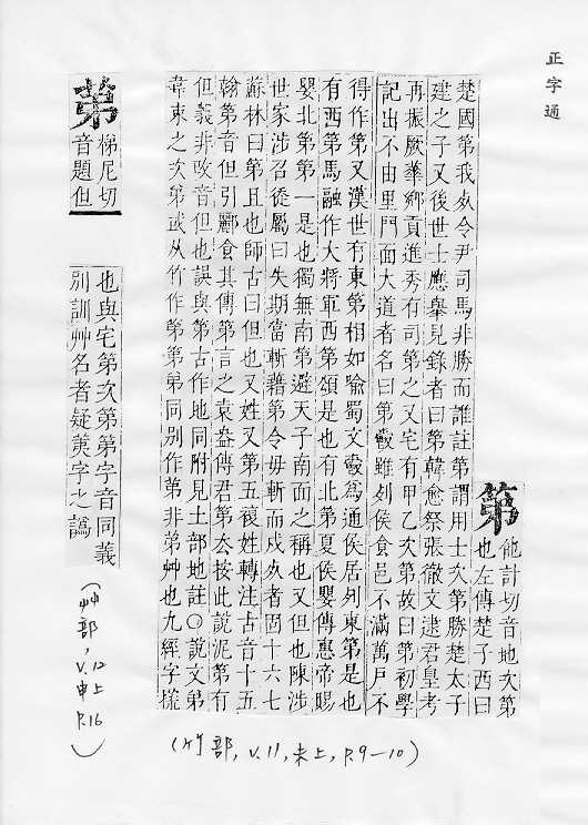
正字通

經典文字辨證書

增廣字學舉隅

彙音寶鑑

中日朝漢字字形對照

宋體母稿異體字

重訂直音篇

補充資料
