- Unicode:
- U+723D
- 拼/读音:
- shuǎng 注音:ㄕㄨㄤˇ
- 部首笔画:
- 爻,部外笔画:7,总笔画:11
- 拼音:
- shuang1
- 注音:
- ㄕㄨㄤˇ
明朗,清亮:~目。 轻松,利落:清~。凉~。~口。 痛快,率(shuài )直:~朗。~快。~利。豪~。直~。 差失,违背:~信。~约(失约)。毫厘不~。屡试不~。 干脆,索性:~性。 舒服:~心。~意。~适。身体不~。===汉英互译===
說文解字(大徐本)

說文解字(段注本)

隸辨

金石文字辨異

玉篇零卷
干祿字書

玉篇

廣韻

集韻

集韻考正

類篇

精嚴新集大藏音

四聲篇海(明刊本)

字鑑

六書正

俗書刊誤

字學三正

字彙

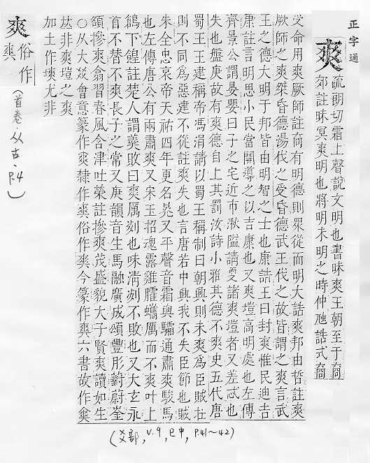
正字通

字彙補

增廣字學舉隅

彙音寶鑑

中日朝漢字字形對照

重訂直音篇

補充資料
