- Unicode:
- U+539A
- 拼/读音:
- hòu 注音:ㄏㄡˋ
- 部首笔画:
- 厂,部外笔画:7,总笔画:9
- 拼音:
- hou4
- 注音:
- ㄏㄡˋ
扁平物体上下两个面的距离:~度。~薄(厚度)。 扁平物体上下两个面距离较大的,与薄相对:~纸。~重(zhòng )(a.又厚又重;b.丰厚;c.厚道而庄重)。 深,重(zhòng ),浓,多:~望。 不刻薄,待人好:~道(诚恳,宽容,道读轻声)。宽~。 重视,推崇:~此薄彼。 姓。
說文解字(大徐本)

說文解字(段注本)

隸辨

金石文字辨異

玉篇零卷
龍龕手鏡(高麗本)

龍龕手鑑

玉篇

廣韻

集韻

集韻考正

類篇

四聲篇海(明刊本)

字鑑

字學三正

字彙

正字通

字彙補

經典文字辨證書

增廣字學舉隅

古今正俗字詁

彙音寶鑑

中日朝漢字字形對照

重訂直音篇

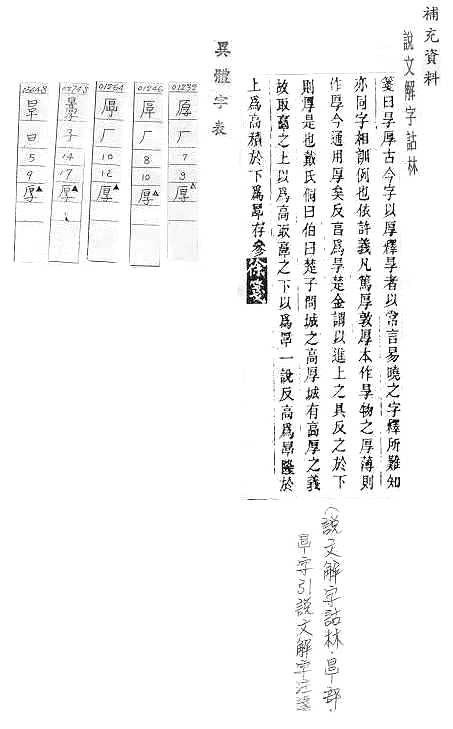
補充資料
