臺灣學術網路十一版異體字字典

Unicode:
U+6146
拼/读音:
tāo   注音:ㄊㄠ
部首笔画:
忄,部外笔画:10,总笔画:13
表面结构:
左:忄,右:舀。
拼音:
tao1
注音:
ㄊㄠ

简义

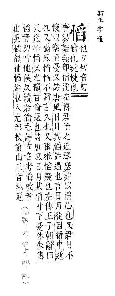
  • 喜悦:“君子之近琴瑟,以仪节也,非以~心也。”
  • 怠惰:“~慢天命。”
  • 怀疑:“天命不~久矣。”
  • 消逝:“今我不乐,日月其~。”
  • 贪。
  • 古通,隐藏。
  • 声明

    本页面所展现之内容,仅作为学术研究预览之用,更多异体字的专业资料请移步至《異體字字典》臺灣學術網路十一版(正式五版)

    异体字


      

    出处

     
    說文解字(大徐本)

     
    說文解字(段注本)

     
    五經文字

     
    龍龕手鏡(高麗本)

     
    龍龕手鑑

     
    佩觿

     
    玉篇

     
    廣韻

     
    集韻

     
    類篇

     
    四聲篇海(明刊本)

     
    字彙

     
    正字通

     

     

     

     

     
    重訂直音篇