臺灣學術網路十一版異體字字典

Unicode:
U+9F10
拼/读音:
nài   注音:ㄋㄞˋ
部首笔画:
鼎,部外笔画:2,总笔画:14
表面结构:
上:乃,下:鼎。
拼音:
nai4
注音:
ㄋㄞˋ

简义

  • 大鼎。
  • 声明

    本页面所展现之内容,仅作为学术研究预览之用,更多异体字的专业资料请移步至《異體字字典》臺灣學術網路十一版(正式五版)

    异体字


       

    出处

     
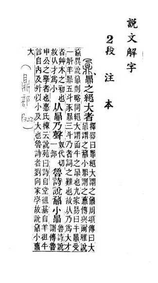
    說文解字(大徐本)

     
    說文解字(段注本)

     

     
    五經文字

     
    龍龕手鏡(高麗本)

     
    龍龕手鑑

     
    玉篇

     
    廣韻

     
    集韻

     
    類篇

     
    四聲篇海(明刊本)

     

     
    字彙

     
    正字通

     

     
    中日朝漢字字形對照

     

     

     

     

     

     

     
    重訂直音篇