- Unicode:
- U+63A5
- 拼/读音:
- jiē 注音:ㄐㄧㄝ
- 部首笔画:
- 扌,部外笔画:8,总笔画:11
- 表面结构:
- 左:扌,右:妾。
- 拼音:
- jie2
- 注音:
- ㄐ|ㄝ
连成一体:~合。~骨。~壤。衔~。 继续,连续:~力。~替。~班。~二连三。再~再厉。 靠近,挨上:~近。邻~。~吻。 承受,收取:~受。~收。~纳。~管。 迎:~风。~生。~待。 姓。
說文解字(大徐本)

說文解字(段注本)

隸辨

五經文字

龍龕手鑑

佩觿

玉篇

廣韻

集韻

類篇

精嚴新集大藏音

四聲篇海(明刊本)

字彙

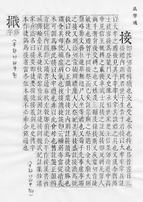
正字通

字彙補

彙音寶鑑

中日朝漢字字形對照

宋體母稿異體字

重訂直音篇

補充資料
