臺灣學術網路十一版異體字字典

Unicode:
U+5DF1
拼/读音:
   注音:ㄐㄧˇ
部首笔画:
己,部外笔画:0,总笔画:3
拼音:
ji3
注音:
ㄐ|ˇ

简义

  • 对别人称本身:自~。知~。反求诸~。推~及人。~所不欲,勿施于人。
  • 天干的第六位,用作顺序第六的代称。
  • 声明

    本页面所展现之内容,仅作为学术研究预览之用,更多异体字的专业资料请移步至《異體字字典》臺灣學術網路十一版(正式五版)

    异体字


      

    出处

     
    說文解字(大徐本)

     
    說文解字(段注本)

     

     

     

     

     

     

     

     
    隸辨

     
    玉篇

     
    廣韻

     
    集韻

     
    類篇

     
    四聲篇海(明刊本)

     
    字鑑

     
    六書正

     
    字彙

     
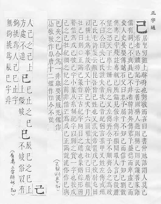
    正字通

     
    字彙補

     

     
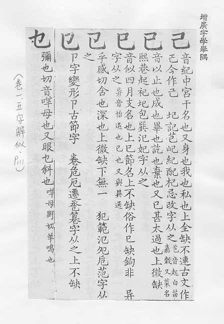
    增廣字學舉隅

     
    彙音寶鑑

     

     

     
    中日朝漢字字形對照

     

     

     

     

     

     

     

     

     

     
    補充資料