臺灣學術網路十一版異體字字典

Unicode:
U+7B4D
拼/读音:
sǔn   注音:ㄙㄨㄣˇ
部首笔画:
竹,部外笔画:6,总笔画:12
表面结构:
上:⺮,下:旬。
拼音:
sun3
注音:
ㄙㄨㄣˇ

简义

  • 声明

    本页面所展现之内容,仅作为学术研究预览之用,更多异体字的专业资料请移步至《異體字字典》臺灣學術網路十一版(正式五版)

    异体字


         

    出处

     
    說文解字(大徐本)

     
    說文解字(段注本)

     

     

     

     
    金石文字辨異

     
    干祿字書

     
    五經文字

     
    龍龕手鏡(高麗本)

     
    龍龕手鑑

     
    玉篇

     
    廣韻

     
    集韻

     
    類篇

     
    精嚴新集大藏音

     
    四聲篇海(明刊本)

     
    字鑑

     
    六書正

     
    俗書刊誤

     
    字學三正

     
    字彙

     
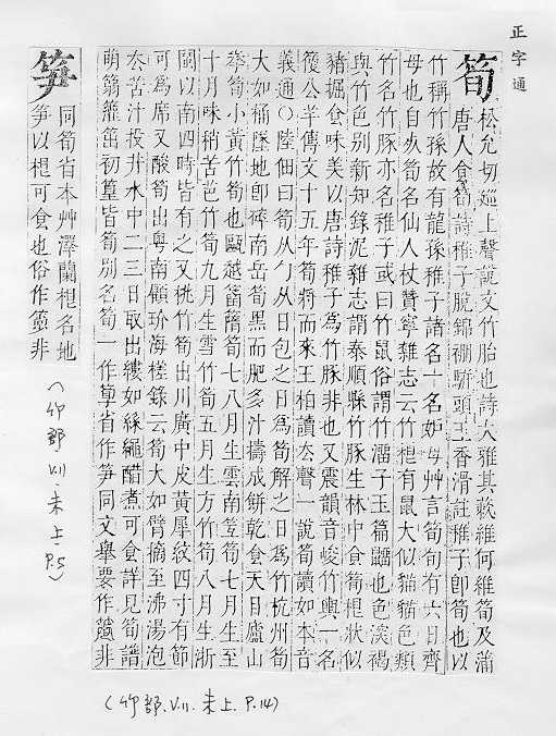
    正字通

     
    字彙補

     

     
    經典文字辨證書

     
    增廣字學舉隅

     

     
    彙音寶鑑

     

     

     
    中日朝漢字字形對照

     

     

     

     

     

     

     

     

     
    宋體母稿異體字

     

     
    重訂直音篇

     
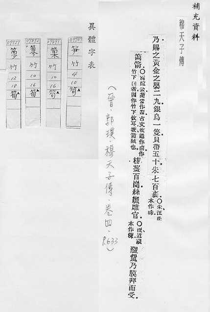
    補充資料