說文解字(大徐本)

說文解字(段注本)

龍龕手鏡(高麗本)

龍龕手鑑

水部.v2.p15.B4
玉篇

水部.p282
廣韻

去聲.十五.卦韻.匹卦切.p384
平聲.五.支韻.府移切.p47
去聲.十二.霽韻.匹詣切.p374
去聲.六.至韻.匹備切.p351
集韻

平聲.五.支韻.實彌切.p33
去聲.十四.泰韻.普蓋切.p519
去聲.十五.卦韻.普卦切.p524
集韻考正

類篇

水部.p413
水部.p397
精嚴新集大藏音

四聲篇海(明刊本)

水部.p435
水部.p444
字彙

水部.v7.p17
水部.v7.p41
正字通

竹部.v11.未上.p33
水部.v9.巳上.p90
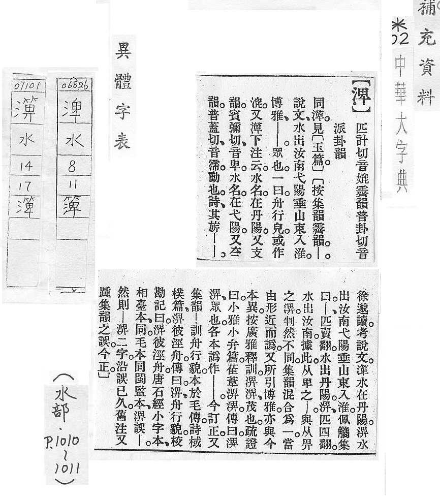
補充資料
