- Unicode:
- U+634B
- 拼/读音:
- luō lǚ 注音:ㄌㄨㄛ ㄌㄩˇ
- 部首笔画:
- 扌,部外笔画:7,总笔画:10
- 表面结构:
- 左:扌,右:寽。
- 拼音:
- lü3
- 注音:
- (一)ㄌㄜˋ (二)ㄌㄩˇ (三)ㄌㄨㄛ
用手握着条状物,顺着移动、抚摩:~起袖子。~桑叶。 用手轻轻摘取:~取。
說文解字(大徐本)

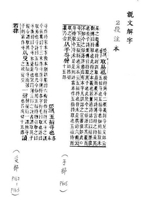
說文解字(段注本)

五經文字

龍龕手鏡(高麗本)

龍龕手鑑

佩觿

玉篇

廣韻

集韻

集韻考正

類篇

精嚴新集大藏音

四聲篇海(明刊本)

字鑑

六書正

字彙

正字通

增廣字學舉隅

彙音寶鑑

中日朝漢字字形對照

宋體母稿異體字

重訂直音篇

補充資料
