- Unicode:
- U+4E45
- 拼/读音:
- jiǔ 注音:ㄐㄧㄡˇ
- 部首笔画:
- 丿,部外笔画:2,总笔画:3
- 拼音:
- jiu3
- 注音:
- ㄐ|ㄡˇ
时间长:~远。~经。~已。~违(客套话,好久没见)。~仰(初次见面客套话,仰慕已久)。~别重逢。~而~之。 时间的长短:住多~?三年之~。
說文解字(大徐本)

說文解字(段注本)

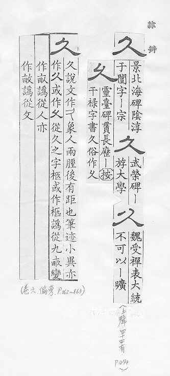
隸辨

新加九經字樣

玉篇

廣韻

集韻

集韻考正

類篇

四聲篇海(明刊本)

字鑑

六書正

俗書刊誤

字彙

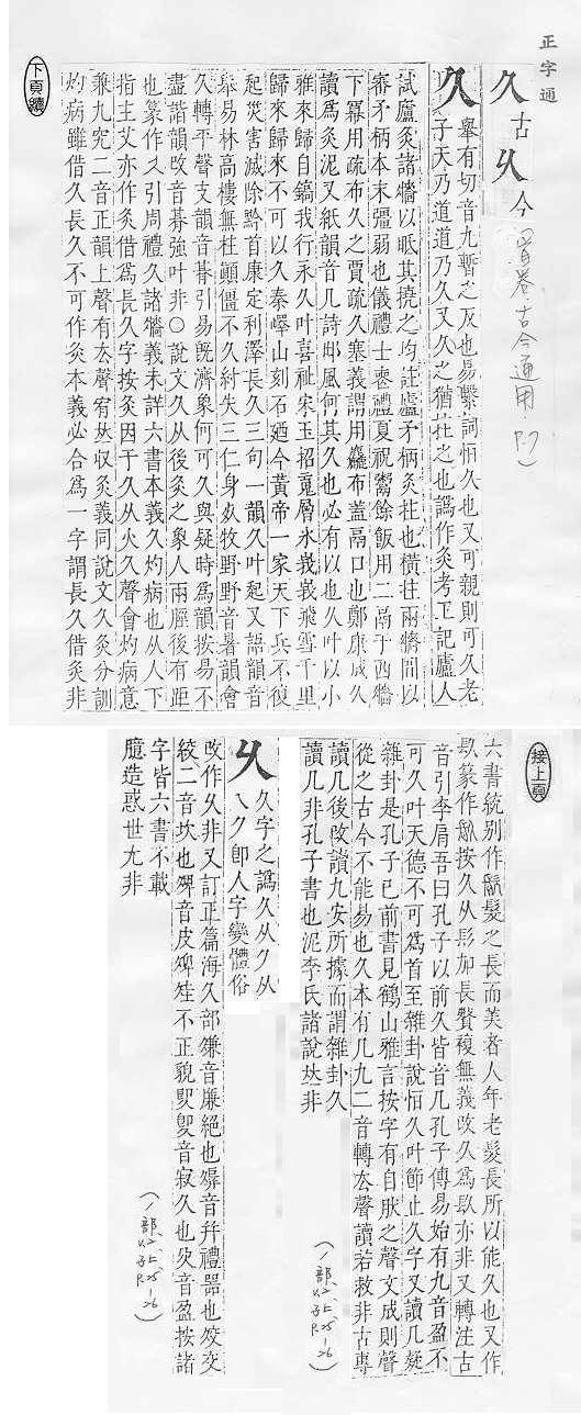
正字通

字彙補

增廣字學舉隅

彙音寶鑑

中日朝漢字字形對照

宋體母稿異體字

重訂直音篇

補充資料
