臺灣學術網路十一版異體字字典

注音:
ㄓㄠˇ

简义

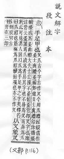
手足甲,後作「爪」。說文解字:「,手足甲也。」段
玉裁.注:「、爪,古今字。古作,今用爪。」

「」之異體。

声明

本页面所展现之内容,仅作为学术研究预览之用,更多异体字的专业资料请移步至《異體字字典》臺灣學術網路十一版(正式五版)

异体字


出处

 
說文解字(大徐本)

 
說文解字(段注本)

 

 
佩觿

 
玉篇

又部.p115

 
廣韻

上聲.三十一.巧韻.側絞切.p300

 
集韻

上聲.三十一.巧韻.側絞切.p398

 
類篇

又部.p102

 
四聲篇海(明刊本)

又部.p546

 
六書正

 
字彙

又部.v2.p95

二字辨似.v14.p2

 
正字通

又部.v3.子下.p121

首卷.二字辨似.p37_p38

 

 

 

 

 
重訂直音篇

卷三.又部.p203