臺灣學術網路十一版異體字字典

Unicode:
U+6A1D
拼/读音:
zhā   注音:ㄓㄚ
部首笔画:
木,部外笔画:11,总笔画:15
表面结构:
左:木,右:虘。
拼音:
zha1
注音:
ㄓㄚ

简义

  • 同[[楂1”。
  • 声明

    本页面所展现之内容,仅作为学术研究预览之用,更多异体字的专业资料请移步至《異體字字典》臺灣學術網路十一版(正式五版)

    异体字


        

    出处

     
    說文解字(大徐本)

     
    說文解字(段注本)

     
    干祿字書

     
    五經文字

     
    龍龕手鏡(高麗本)

     
    龍龕手鑑

     
    玉篇

     
    廣韻

     
    集韻

     
    類篇

     
    四聲篇海(明刊本)

     
    字彙

     
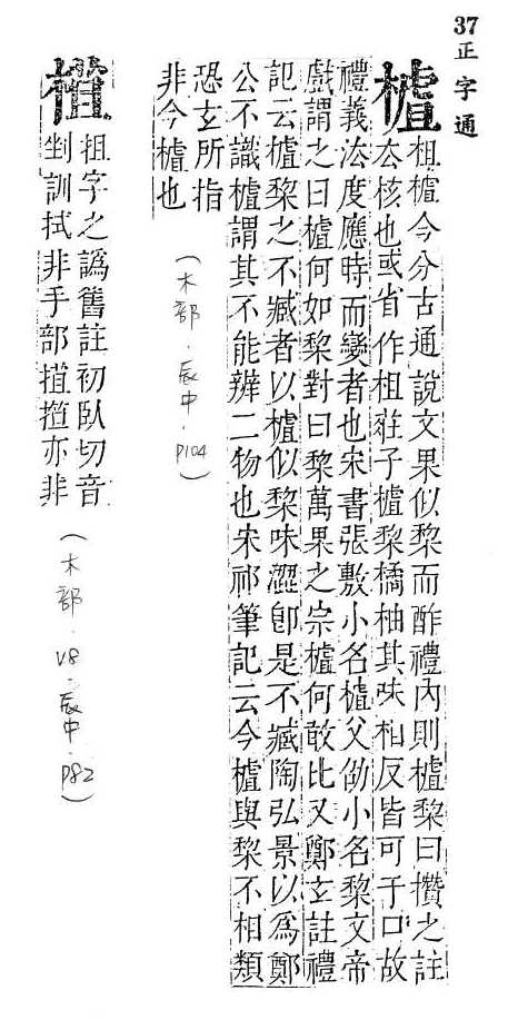
    正字通

     

     

     

     

     

     

     

     
    重訂直音篇

     
    補充資料