- Unicode:
- U+67F0
- 拼/读音:
- nài 注音:ㄋㄞˋ
- 部首笔画:
- 木,部外笔画:5,总笔画:9
- 表面结构:
- 上:木,下:示。
- 拼音:
- nai4
- 注音:
- ㄋㄞˋ
苹果的一种,通称“柰子”;亦称“花红”、“沙果”。 古同奈,怎样,如何。
說文解字(大徐本)

說文解字(段注本)

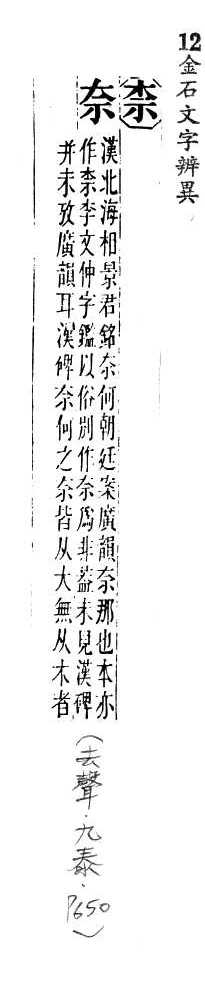
金石文字辨異

玉篇

廣韻

集韻

集韻考正

類篇

四聲篇海(明刊本)

字鑑

六書正

俗書刊誤

字學三正

字彙

正字通

字彙補

經典文字辨證書

增廣字學舉隅

古今正俗字詁

彙音寶鑑

中日朝漢字字形對照

宋體母稿異體字

重訂直音篇
