- Unicode:
- U+897F
- 拼/读音:
- xī 注音:ㄒㄧ
- 部首笔画:
- 覀,部外笔画:0,总笔画:6
- 拼音:
- xi1
- 注音:
- ㄒ|
方向,太阳落下的一边,与东相对:~面。~晒。~域。~方。~席(旧时对幕友或家塾教师的敬称。古代主位在东,宾位在西。亦称“西宾”)。~宫(借指妃嫔)。 事物的样式或方法属于西方的(多指欧美各国):~学。~画。~餐。~医。 姓。
說文解字(大徐本)

說文解字(段注本)

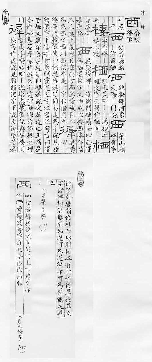
隸辨

金石文字辨異

五經文字

龍龕手鏡(高麗本)

龍龕手鑑

玉篇

廣韻

集韻

集韻考正

類篇

四聲篇海(明刊本)

字鑑

俗書刊誤

字學三正

字彙

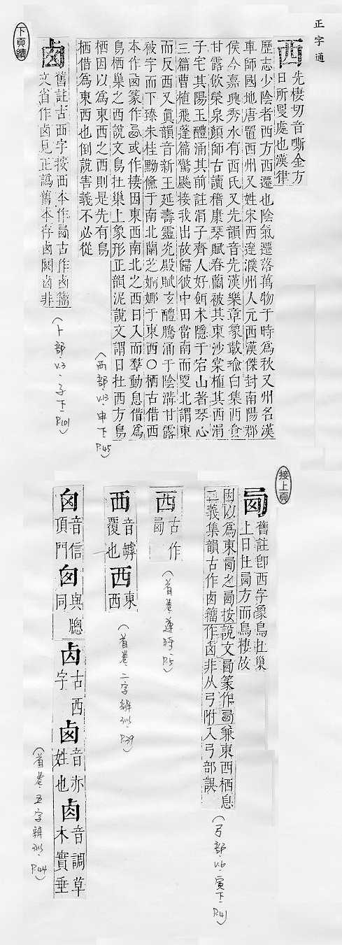
正字通

字彙補

經典文字辨證書

增廣字學舉隅

古今正俗字詁

彙音寶鑑

中日朝漢字字形對照

重訂直音篇

補充資料
