- Unicode:
- U+7259
- 拼/读音:
- yá 注音:ㄧㄚˊ
- 部首笔画:
- 牙,部外笔画:0,总笔画:4
- 拼音:
- ya2
- 注音:
- |ㄚˊ
齿(古代把大齿称为“牙”,现在“牙”是齿的通称,亦称“牙齿”):~垢。~龈。~碜。~祭。 像牙齿形状的东西:抽屉~子。 特指象牙:~雕。 旧时介绍买卖从中取利的人:~商。~行。 姓。
說文解字(大徐本)

說文解字(段注本)

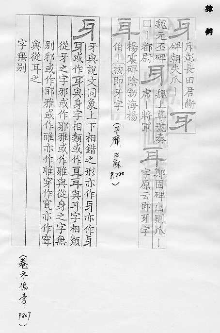
隸辨

金石文字辨異

新加九經字樣

龍龕手鏡(高麗本)

龍龕手鑑

玉篇

廣韻

集韻

集韻考正

類篇

四聲篇海(明刊本)

字鑑

六書正

字學三正

字彙

正字通

字彙補

增廣字學舉隅

彙音寶鑑

中日朝漢字字形對照

重訂直音篇

補充資料
