臺灣學術網路十一版異體字字典

Unicode:
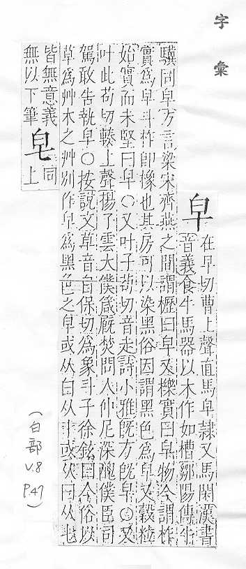
U+7681
拼/读音:
zào   注音:ㄗㄠˋ
部首笔画:
白,部外笔画:2,总笔画:7
表面结构:
上:白,下:十。
拼音:
zao4
注音:
ㄗㄠˋ

简义

  • 声明

    本页面所展现之内容,仅作为学术研究预览之用,更多异体字的专业资料请移步至《異體字字典》臺灣學術網路十一版(正式五版)

    异体字


     

    出处

     

     
    干祿字書

     
    五經文字

     
    龍龕手鏡(高麗本)

     
    龍龕手鑑

     
    玉篇

     
    廣韻

     
    集韻

     
    四聲篇海(明刊本)

     
    字鑑

     
    六書正

     
    俗書刊誤

     
    字學三正

     
    字彙

     
    正字通

     
    字彙補

     

     

     
    經典文字辨證書

     
    增廣字學舉隅

     

     
    彙音寶鑑

     

     

     

     

     

     

     
    重訂直音篇