- Unicode:
- U+5E95
- 拼/读音:
- dǐ de 注音:ㄉㄧˇ ㄉㄜ
- 部首笔画:
- 广,部外笔画:5,总笔画:8
- 表面结构:
- 左上:广,右下:氐。
- 拼音:
- de
- 注音:
- (一)ㄉ|ˇ (二).ㄉㄜ
最下面的部分:~层。~座。~下(a.下面;b.以后)。海~。~肥。 末了:年~。月~。到~。 根基,基础,留作根据:刨根问~。~蕴。~稿。~版。 图案的基层:白~蓝花的瓶子。 何,什么:~事伤感。 古同抵,达到。
說文解字(大徐本)

說文解字(段注本)

隸辨

玉篇零卷
龍龕手鏡(高麗本)

龍龕手鑑

佩觿

玉篇

廣韻

集韻

類篇

四聲篇海(明刊本)

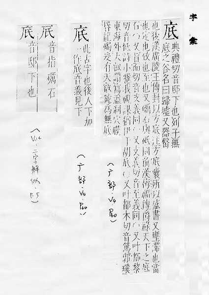
字彙

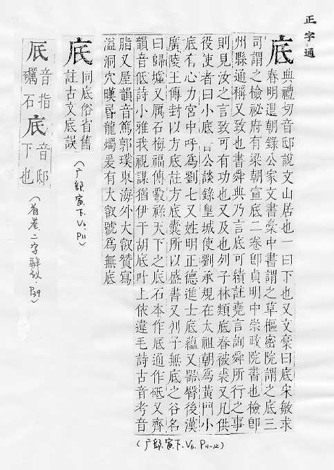
正字通

字彙補

經典文字辨證書

彙音寶鑑

中日朝漢字字形對照

重訂直音篇

補充資料
